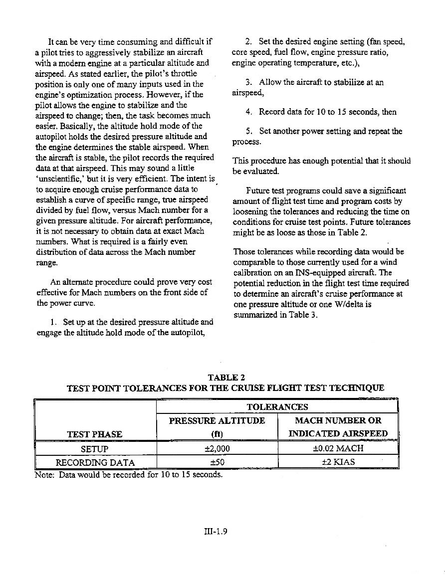
Modeling & Simulation/page_09.jpg

Previous | Home | Next